Bidding begins closing Thursday, December 5th at 6:00PM
329 Alabama St.
Huntington, WV
Convenient Location
1,332+/- sqft.
Off-Street Parking
0.12+/- Acres (as assessed)
Minutes from Marshall University & Hospitals
Wayne Co. District 6, Map 2, Parcel 104
Legal Description: LOT 158 HYDE HTS Z5
Call Todd Short, Salesperson, for more information (681) 205-3044
Directions: From I-64W take exit 6 and turn left onto Madison Ave. Continue 0.2 miles then turn right onto W 19th St. Continue 0.2 miles then turn left onto Rt. 60/Adams Ave. Continue 0.8 miles then turn right onto Auburn Rd. Continue 0.6 miles then turn right.
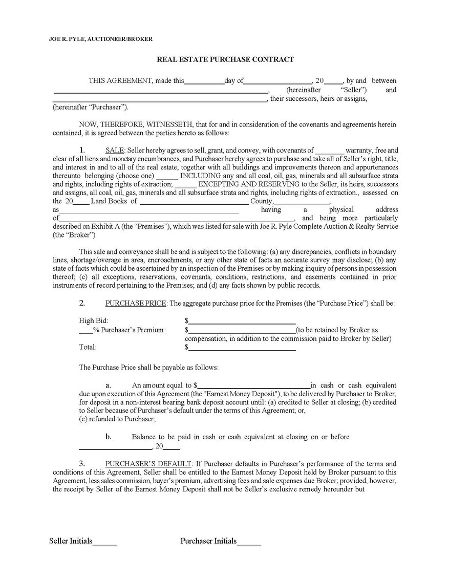
10% buyer’s premium. 30 days to close. Please read full terms and conditions before bidding.
REAL ESTATE TERMS: 10% nonrefundable down payment made day of auction (or within 24 hours for online bidders) with balance due at closing. Cash, check, & wire transfer accepted. Credit cards will not be accepted for the down payment. No financing contingencies will be entered into the contract. Any required inspections must be completed prior to bidding. Property is being sold as is, where is with no warranty written or implied.
Property will be sold free and clear of all liens. Seller is conveying surface rights only with no oil, gas, coal, mineral, or other subsurface interests conveyed unless otherwise noted. 30 days given to close. Announcements sale day take precedence over all advertisements published. 10% Buyers Premium will be added to determine final contract price. Name of purchaser on contract must be the name of the winning bidder or an entity which the winning bidder legally represents. No exceptions. Real estate sold subject to owner confirmation unless otherwise noted.
AGENCY DISCLOSURE: Joe R. Pyle Auction and Realty Service is acting as Auctioneer/Agent and is an agent for the seller only.
DISCLAIMER: All information regarding the description of this property is derived from sources deemed reliable but not warranted. Information is believed to be correct to the best of auctioneer/agent’s knowledge but is subject to inspection and verification by all parties relying on it. Sellers, their representatives and auctioneer/agent shall not be liable for inaccuracies, errors, or omissions.
Any references to acreage, unless otherwise noted, are derived from public record and are not warranted. Buyers are responsible for conducting their own research prior to bidding.
BUYER/BROKER INFORMATION: Commission will be paid to any properly licensed buyer's broker who registers a successful buyer according to the Broker Participation Guidelines. Broker registration forms are available on our website or from the company office. Broker must be registered 24 hours prior to Auction. Brokers/Agents are not entitled to a commission if they are the purchaser.
We don't just list your property - WE SELL IT!
JOE R. PYLE COMPLETE AUCTION & REALTY SERVICE
Joe R. Pyle, Broker
(888) 875-1599
5546 Benedum Drive Shinnston West Virginia 26431
www.joerpyleauctions.com
Joe R Pyle WV212
Charlotte Pyle WV2174
Alan Heldreth WV2224
Jordan Kiger WV2246
Bob Stewart, Jr WV825
Bob Stewart, III WV1292
Todd Short WV1649
Tia Wolski WV2351
Ethan Moore WV2354
Taylor Ramsey WV2352
Nick Dawkins WV2410
Bud Shingleton WV1956
Colton McCown WV2463
Garrett Wilkerson WV2541A
Thomas Heldreth WV2520A
John Powell WV2481A
Taylor Self WV2521A
Kevin Zakariasen WV2482A
Brooke Patterson WV2536A
Carter Walker WV2542A


