Online Land Auction
Bidding begins closing Wednesday, July 30th at 6:00PM
27 Paint Creek Road
Hansford, WV
Over 950 Acres of Land with Timber Value & Solar Lease
950+/- Acres as Assessed
Rare Opportunity to Purchase a Large Acreage Tract in Kanawha County!
Current Income Generating Solar Lease – $22,950 Updated Yearly
Recent Timber Cruise Value of Over $700,000
Gas Well Royalties ($120+/- Monthly)
All Contracts/Leases Upon Are Available Upon Request
Coal Reserve Maps Are Also Available Upon Request
Nice Location with Access from MacCorkle Avenue & Paint Creek Road
District 3, Map 36, Parcel 39 & 38
Questions? Please call Taylor Ramsey, Salesperson (304)-552-5201
10% buyer’s premium. 60 days to close. Please read full terms and conditions before bidding.
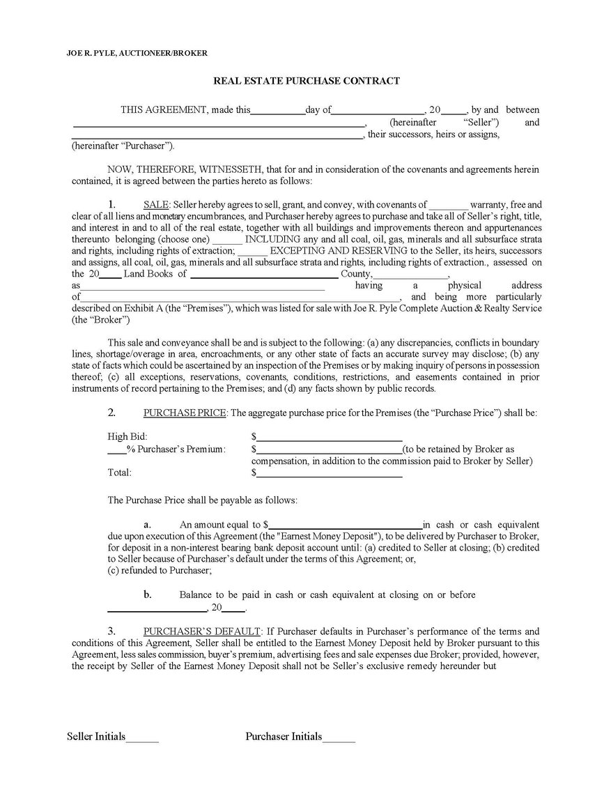
AUCTION TERMS
REAL ESTATE TERMS: 10% nonrefundable down payment made day of auction (or within 24 hours for online
bidders) with balance due at closing. Cash, check, & wire transfer accepted. Credit cards will not be accepted for
the down payment. No financing contingencies will be entered into the contract. Any required inspections must
be completed prior to bidding. Property is being sold as is, where is with no warranty written or implied.
Property will be sold free and clear of all liens. Seller is conveying surface rights only with no oil, gas, coal, mineral,
or other subsurface interests conveyed unless otherwise noted. 60 days given to close. Announcements sale day
take precedence over all advertisements published. 10% Buyers Premium will be added to determine final contract
price. Name of purchaser on contract must be the name of the winning bidder or an entity which the winning
bidder legally represents. No exceptions. Real estate sold subject to owner confirmation unless otherwise noted.
Auction company reserves the right to bid on behalf of the seller in an auction with reserve.
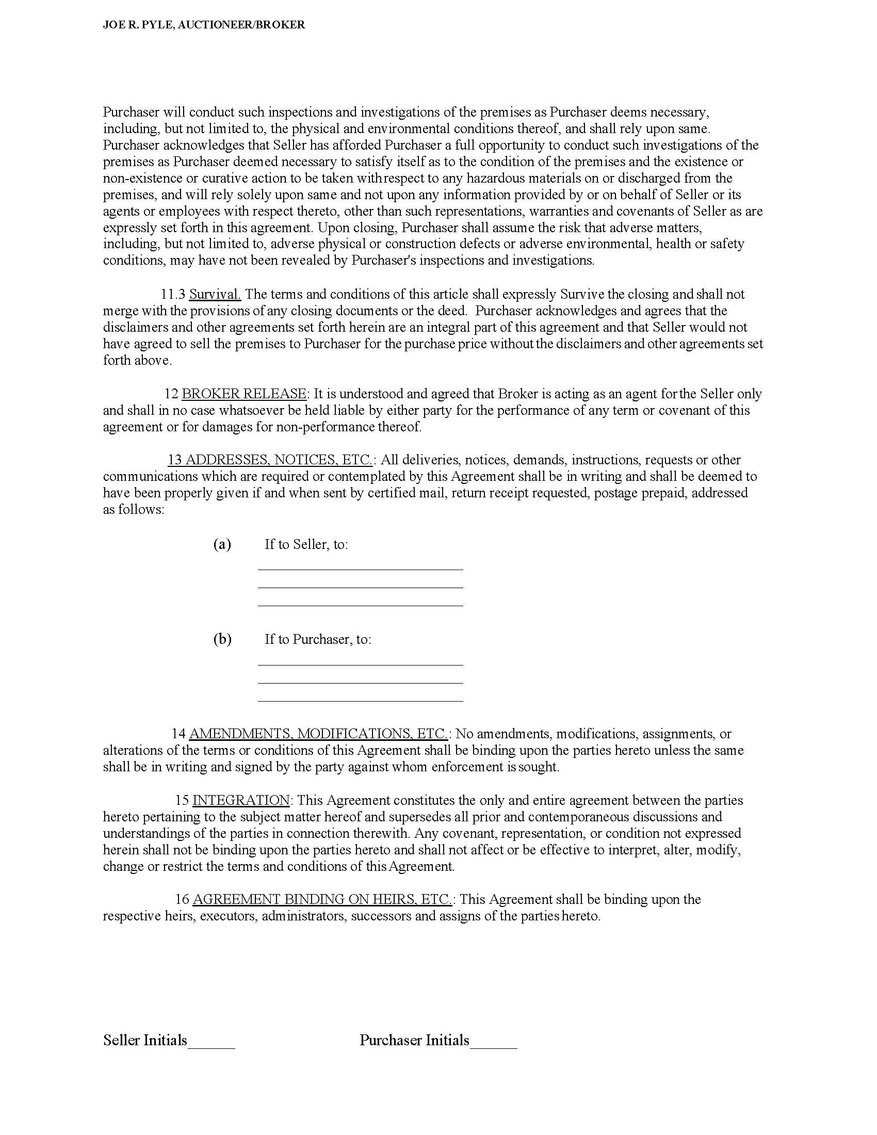
AGENCY DISCLOSURE: Joe R. Pyle Auction and Realty Service is acting as Auctioneer/Agent and is an agent for the
seller only.
DISCLAIMER: All information regarding the description of this property is derived from sources deemed reliable
but not warranted. Information is believed to be correct to the best of auctioneer/agent’s knowledge but is subject
to inspection and verification by all parties relying on it. Sellers, their representatives and auctioneer/agent shall
not be liable for inaccuracies, errors, or omissions.
Any references to acreage, unless otherwise noted, are derived from public record and are not warranted. Buyers
are responsible for conducting their own research prior to bidding.
BUYER/BROKER INFORMATION: Commission will be paid to any properly licensed buyer's broker who registers a
successful buyer according to the Broker Participation Guidelines. Broker registration forms are available on our
website or from the company office. Broker must be registered 24 hours prior to Auction. Brokers/Agents are not
entitled to a commission if they are the purchaser.
We don't just list your property - WE SELL IT!
JOE R. PYLE COMPLETE AUCTION & REALTY SERVICE
Joe R. Pyle, Broker
(888) 875-1599
5546 Benedum Drive Shinnston West Virginia 26431
www.joerpyleauctions.com
Joe R Pyle WV212
Charlotte Pyle WV2174
Alan Heldreth WV2224
Jordan Kiger WV2246
Bob Stewart, Jr WV825
Bob Stewart, III WV1292
Todd Short WV1649
Tia Wolski WV2351
Ethan Moore WV2354
Taylor Ramsey WV2352
Nick Dawkins WV2410
Bud Shingleton WV1956
Colton McCown WV2463
Garrett Wilkerson WV2541A
Thomas Heldreth WV2520A
John Powell WV2481A
Taylor Self WV2521A
Kevin Zakariasen WV2482A
Brooke Patterson WV2536A
Carter Walker WV2542A


