REAL ESTATE AUCTION
Tuesday, August 30th at 5:00PM
Registration & Inspection Begin at 4:00PM
5134 Crystal Drive
Charleston (Cross Lanes) WV 25313
Large Cape Cod on 1.5+/- Acres
4 Bedrooms/3 Baths
Potential 5th Bedroom
2,216+/ -sqft.
Additional Bath plumbed on upper level
Main floor features living room, dining room, appliance filled kitchen with Corian counters and under cabinet lighting, Pantry, Laundry, primary Suite with bath/oversized Family room, Second bedroom/office and additional full bath
Upstairs level features 3 bedrooms
Full unfinished basement for storage or additional finished square footage
Rear addition was added about 12 years ago
Covered, spacious rear and side decks
Hot tub
Gas firepit
Public Water and Sewer
Gas heat/Central Air
District 25 Map 22 Parcel 52.4 and
District 25 Map 23C Parcel 1
GPS: 38.426298N, 81.753631W
Directions: I-64W to exit 47 to right on WV-622 (Big Tyler Road) to Right on Crystal Drive to house on the right. Watch for Auction signs.
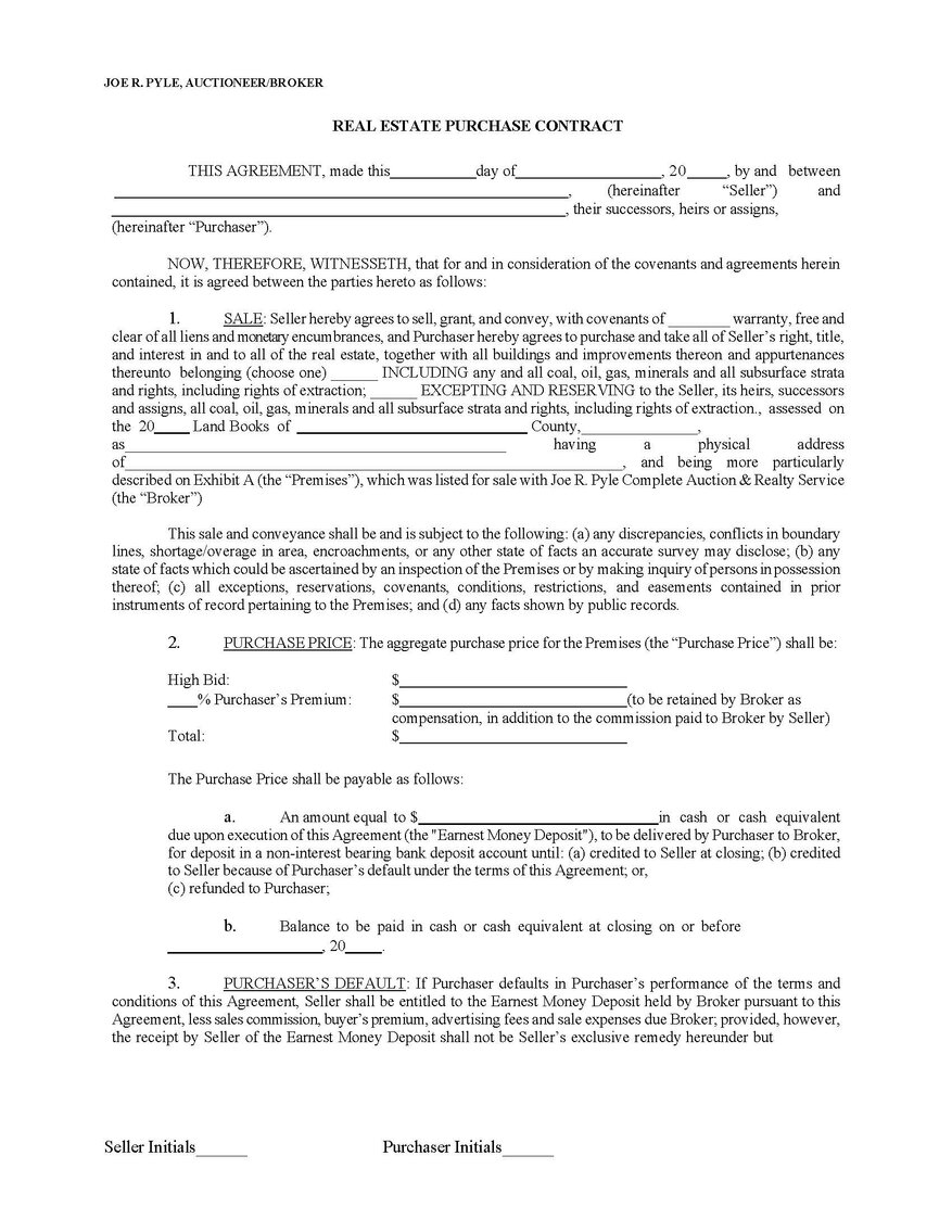
AUCTION TERMS
REAL ESTATE TERMS: 10% nonrefundable down payment made day of auction (or within 24 hours for online
bidders) with balance due at closing. Cash, check, & wire transfer accepted. Credit cards will not be accepted for
the down payment. No financing contingencies will be entered into the contract. Any required inspections must
be completed prior to bidding. Property is being sold as is, where is with no warranty written or implied.
Property will be sold free and clear of all liens. Seller is conveying surface rights only with no oil, gas, coal, mineral,
or other subsurface interests conveyed unless otherwise noted. 60 days given to close. Announcements sale day
take precedence over all advertisements published. 10% Buyers Premium will be added to determine final contract
price. Name of purchaser on contract must be the name of the winning bidder or an entity which the winning
bidder legally represents. No exceptions. Real estate sold subject to owner confirmation unless otherwise noted.
Auction company reserves the right to bid on behalf of the seller in an auction with reserve.
AGENCY DISCLOSURE: Joe R. Pyle Auction and Realty Service is acting as Auctioneer/Agent and is an agent for the
seller only.
DISCLAIMER: All information regarding the description of this property is derived from sources deemed reliable
but not warranted. Information is believed to be correct to the best of auctioneer/agent’s knowledge but is subject
to inspection and verification by all parties relying on it. Sellers, their representatives and auctioneer/agent shall
not be liable for inaccuracies, errors, or omissions.
Any references to acreage, unless otherwise noted, are derived from public record and are not warranted. Buyers
are responsible for conducting their own research prior to bidding.
BUYER/BROKER INFORMATION: Commission will be paid to any properly licensed buyer's broker who registers a
successful buyer according to the Broker Participation Guidelines. Broker registration forms are available on our
website or from the company office. Broker must be registered 24 hours prior to Auction. Brokers/Agents are not
entitled to a commission if they are the purchaser.
We don't just list your property - WE SELL IT!
JOE R. PYLE COMPLETE AUCTION & REALTY SERVICE
Joe R. Pyle, Broker
(888) 875-1599
5546 Benedum Drive Shinnston West Virginia 26431
www.joerpyleauctions.com
Joe R Pyle WV212
Charlotte Pyle WV2174
Alan Heldreth WV2224
Jordan Kiger WV2246
Bob Stewart, Jr WV825
Bob Stewart, III WV1292
Todd Short WV1649
Tia Wolski WV2351
Ethan Moore WV2354
Taylor Ramsey WV2352
Nick Dawkins WV2410
Bud Shingleton WV1956
Colton McCown WV2463
Garrett Wilkerson WV2541A
Thomas Heldreth WV2520A
John Powell WV2481A
Taylor Self WV2521A
Kevin Zakariasen WV2482A
Brooke Patterson WV2536A
Carter Walker WV2542A















































































